爱因斯坦第二假设 19世纪中页人们对电和磁的理解有了一个革命性的飞跃,其中以詹姆斯.麦克斯韦(James Maxwell)的成就为代表。电和磁两种现象曾被认为毫不相关,直到奥斯特(Oersted)和安培(Ampere)证明电能产生磁;法拉弟(Faraday)和亨利(Henry)证明磁能产生电。现在我们知道电和磁的关系是如此紧密,以致于当物理学家对自然力进行列表时,常常将电和磁视为一件事。
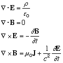
麦克斯韦的成就在于将当时所有已知的电磁知识集中于四个方程中:

(如果你没有上过理解这些方程所必需的三到四个学期的微积分课程,那么就坐下来看它们几分钟,欣赏一下其中的美吧)
麦克斯韦方程对于我们的重要意义在于,它除了将所有人们已知的电磁知识加以描述以外,还揭示了一些人们不知道的事情。例如:构成这些方程的电磁场可以以振动波的形式在空间传播。当麦克斯韦计算了这些波的速度后,他发现它们都等于光速。这并非巧合,麦克斯韦(方程)揭示出光是一种电磁波。
我们应记住的一个重要的事情是:光速直接从描述所有电磁场的麦克斯韦方程推导而来。
现在我们回到爱因斯坦。
爱因斯坦的第一个假设是所有惯性参照系中的物理规律相同。他的第二假设是简单地将此原则推广到电和磁的规律中。这就是,如果麦克斯韦假设是自然界的一种规律,那么它(和它的推论)都必须在所有惯性系中成立。这些推论中的一个就是爱因斯坦的第二假设:
光在所有惯性系中速度相同 爱因斯坦的第一假设看上去非常合理,他的第二假设延续了第一假设的合理性。但为什么它看上去并不合理呢?
火车上的试验
为了说明爱因斯坦第二假的合理性,让我们来看一下下面这副火车上的图画。
火车以每秒100,000,000米/秒的速度运行,Dave站在车上,Nolan站在铁路旁的地面上。Dave用手中的电筒“发射”光子。

光子相对于Dave以每秒300,000,000米/秒的速度运行,Dave以100,000,000米/秒的速度相对于Nolan运动。因此我们得出光子相对于Nolan的速度为400,000,000米/秒。
问题出现了:这与爱因斯坦的第二假设不符!爱因斯坦说光相对于Nolan参照系的速度必需和Dave参照系中的光速完全相同,即300,000,000米/秒。那么我们的“常识感觉”和爱因斯坦的假设那一个错了呢?
好,许多科学家的试验(结果)支持了爱因斯坦的假设,因此我们也假定爱因斯坦是对的,并帮大家找出常识相对论的错误之处。
记得吗?将速度相加的决定来得十分简单。一秒钟后,光子已移动到Dave前300,000,000米处,而Dave已经移动到Nolan前100,000,000米处。其间的距离不是400,000,000米只有两种可能:
1、 相对于Dave的300,000,000米距离对于Nolan来说并非也是300,000,000米
2、 对Dave而言的一秒钟和对Nolan而言的一秒钟不同
尽管听起来很奇怪,但两者实际上都是正确的。